先回答标题,答案是有,任何角色的某一个乘区过分“堆积”都会导致收益逐渐下降,那么对新乘区有需求也是理所当然的。
那么一个背水角色的背水到达多少时,才可以需要昂扬词条呢?大概在106.7%附近。这个答案充满了诸多前提,不然要具体分析。
过程:
设背水值为 x(小数,例如 22% 记为 x = 0.22),昂扬值为y(小数)。目前在有了“衰朽”这个远程魔之楔加持下,背水角色比较容易将血量维持在25%吃满背水乘区加成,我们就以当前生命值25%为参考,进行计算。
背水独立乘区系数:
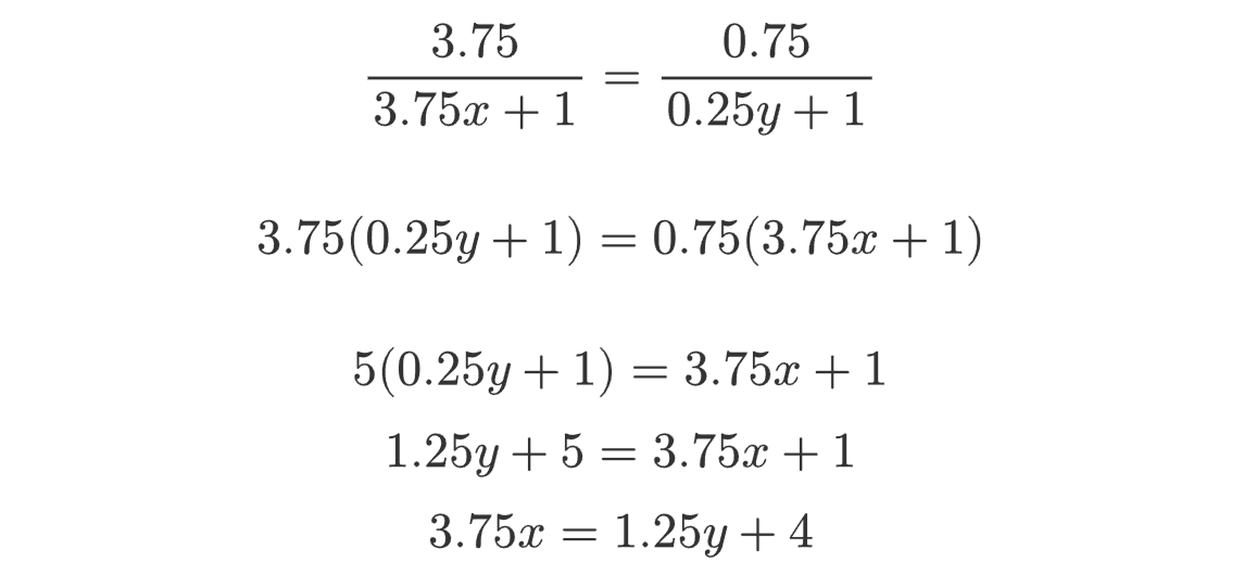
f(x) = 3.75x + 1
昂扬独立乘区系数:
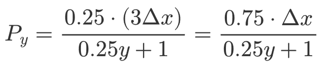
g(y) = 0.25y + 1
当前魔之楔能提供的背水与昂扬维持在1:3,比如全盛·背水为11%,全盛·昂扬为33%,那么我们在计算收益时,也考虑这部分的比值,即n%背水与3n%昂扬进行收益对比。
背水提升的收益率:
昂扬提升的收益率:
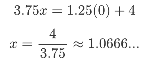
当 P_x = P_y 时,继续堆背水的收益正式被昂扬追平。
化简后,等式有两个未知数,但是在收益相同之前,我们是没有额外堆昂扬的,即y = 0,那么此时可对x求解:
按照我们之前设定的条件,此时解的答案为106.7%。
但对目前版本的启示似乎不大,一方面同时能提供昂扬或背水乘区的魔之楔目前来看只有全盛·昂扬/背水。另一方面,全溯源的赛琪目前在搭配队友情况下能达到的背水为112.3%,似乎一看这个背水超越了106.7%,但其实去除+10全盛·背水的11%,面板为101.3%,实际并没有达到,但此时二者的收益已经非常接近了(非被动持续时间内)。
全盛·背水收益:
全盛·昂扬收益:
两者的差距已经来到了4.12%,期待未来会有新的魔之楔、武器、角色等来为我们带来i虚拟的变化。
题外话,皎皎角什么时候支持latex啊

命运的未来
烧莉
这是一只河狸
炉心炎lover
强强强
奈落u
栖缘
,
女狩月人洛洛
好强好强
灭镰之懿
这个我是真服了
伟泣3
松露榛子
琪寄你好箱
cvzs
有点飘飘
1
DAFDSG
herospy