内容仅供参考,方便各位狩月人计算数据
省流
未使用魔灵—【遁逃】
红豆平均获取速率约:751.41个/关
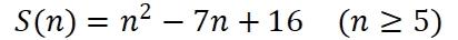
升级指定等级魔之楔所需要的关卡数量满足公式:
PS:如果黎瑟超级跳使用更加熟练,S(n)值将会降低
收益详细计算结果
关卡效率:30.25s/关
时间:60分30秒
红豆获取效率(s):24.84个/s
红豆获取效率(关):751.41个/关
红豆总收益:90,180
金币获取效率(s):23.63个/s
金币获取效率(关):715.00个/关
金币总收益:85,800
魔之楔二次增量公式
公式存在误差,并非最佳数据
真实数据
0→5级魔之楔要打约5.96关
0→6级魔之楔要打约9.98关(+4.02)
0→7级魔之楔要打约15.97关(+5.99)
0→8级魔之楔要打约23.95关(+7.98)
0→9级魔之楔要打约33.93关(+9.98)
0→10级魔之楔要打约45.91关(+11.98)
魔之楔升级万能公式
队伍与武器
关键角色:黎瑟
关键武器:春玦戟
关键魔灵潜质:你好箱+巧手
注意:队友大概率会自动帮你开装置。
采集、计算、验证
1~60关
此处标错,应为30.80
1~120关
(此处不重复前60的数据)
前60关数据计算:
获取效率:23.96个/s
关卡效率:30.8s/关
总个数:44,280
时间:30分48秒
金币获取效率:23.07个/s
金币收益:42,640
魔之楔消耗深红凝珠值
0→5魔之楔:4,500
0→6魔之楔:7,500=4,500+3,000
0→7魔之楔:12,000=7,500+4,500
0→8魔之楔:18,000=12,000+6,000
0→9魔之楔:25,500=18,000+7,500
0→10魔之楔:34,500=25,500+9,000
公式验证 :魔之楔二次增量公式
其中,n 表示魔之楔的等级。括号内的增量表示从 n-1 级升到 n 级所需的额外关卡数,其公式为:
使用该公式验证模拟函数,计算理论值并与给定模拟值对比:
理论值与模拟值吻合良好,误差均在0.1以内,验证了公式的有效性。
公式验证 :魔之楔升级万能公式
使用该公式验证模拟函数,计算理论值并与给定模拟值对比:
往期数据统计
刷铜币:刷铜币的方案
其他
感谢各位的观看~
详细文档获取:皎皎角官方1群
如果你觉得不错请分享其他人和点一个赞。
如果想刷红豆或者其他,狩月人之阶的效率似乎更高,大家可以等一等~到时候再出个详细计算数据对比一下~

一朝一暮一岁岁
好好好强哇
秦御史
可爱洛洛,摸摸
秦御史
*计算狩月人之阶收益
幻景别回头
彳亍
夜莺千夜潭菲娜
水~~
无上暴龙战神
金币,红豆,MOD这三样什么时候开无尽探险模式啊
Drawingcat
乖女儿,妈妈来帮你水帖了
木易牧歌
宝石心学院
强
herospy
666
瞬Re
好望角的猫
脑子不够用了喵
超级猪猪大王
道灬玄
咲夜anchor
道九天
蛙粉夏
1
心野丶
孮枉
柳絮